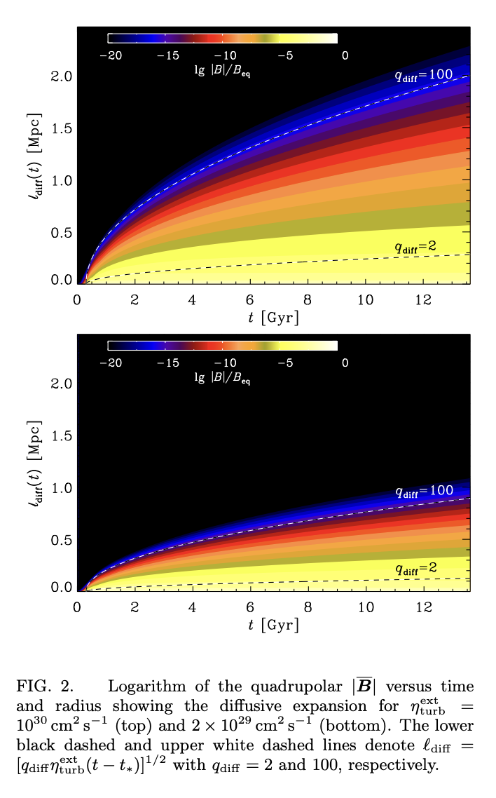
"Can galactic magnetic fields diffuse into the voids?"
(answer: NO!)
https://arxiv.org/abs/2510.26918 by O. Ghosh et al., (including me) on #astroph today .
It is a necessary rebuttal to a recent paper (https://arxiv.org/abs/2505.14774) who claimed the possible magnetisation of voids by propagating a dipole solution for the magnetic fields of galaxies, assuming cosmic voids are textbook "vacua"
Not good at all!